Eli täällä joensuun alueella on ollut tässä kohinaa jo jonkin aikaa ja Elisan asiakaspalvelu sanoo vaan että teidän puolelta ei enää asiaa tutkita. Kohina ilmenee Upstreamin 64QAM putoamisena 4QAM ja 16QAM joka jatkuu tietyn aika välein tai välillä sattuman varaisesti. Nämä häiriöt on jatkuneet 2023 huhtikuun jälkeen kun alueela tehtiin ‘’parannuksia’’ verkkoon ja olen sen jälkeen kamppailut tässä Elisan kanssa että vika saataisiin korjattua. Häiriöt saattaa tapahtua päivittäin, kerran tai pari kertaa viikossa ja joskus jopa 1 kerran kuukauden välein. Samanlaisen keskustelun löysin aikaisemmin tästä viasta ja johon kommentoin tästä viasta ilman minkäänlaista vastausta mutta se on epäilyttävästi suljettu eikä siihen voi kommentoida enää ja tammikuussa lähettämääni viestiini ei edes vastattu ollenkaan ja vikailmoitukseni suljettiin sen jälkeen.
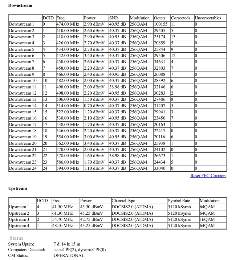
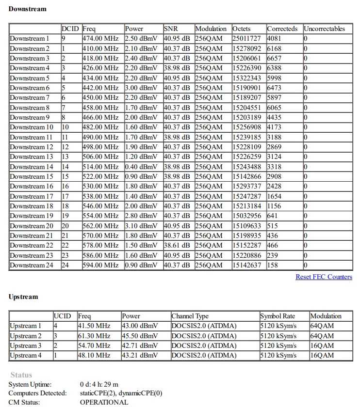
Tälläiselta näyttää nämä häiriöt



Ja nämä häiriöt jatkunee kohta 2 vuotta. Omalta osalta on kaikki mahdollinen kokeiltu eikä ole korjaantunut. Olisi kiva tietää miksi asiakaspalvelu vaan jarruttaa asiaa eikä yritä auttaa millään lailla vaa tarjoaa irtisanomista tai vaihtamista 5G:hen.































